\( (a-b)(c-d) \)の計算
| (1) | ![]() 引き算をしている場合も手順は同じ。ただし、符号の変化に注意しよう |
| (2) | ![]() まず、括弧の中を項に分ける(足し算、引き算が符号に見えるように分ける) |
| (3) | ![]() 左の括弧の最初の項を捕まえて、右の括弧の最初の項に掛ける。\(a \times c=+ac\)(式の先頭なので\(+\)は省略) |
| (4) | ![]() 同じ項を、右の括弧の2番目の項に掛ける。\(a \times (-d)=-ad\) |
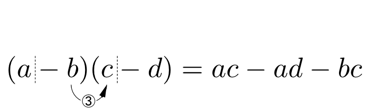
| (5) | ![]() 今度は左の括弧の2番目の項を捕まえて、右の括弧の1番目の項に掛ける。\((-b) \times c=-bc\) |
| (6) | ![]() 同じ項を、右の括弧の2番目の項に掛ける。\((-b) \times (-d)=+bd\) |
| (7) | ![]() これで、左の括弧の項と右の括弧の項を漏れなく掛けることができた |






